-
[4주차] 딥러닝 2단계 : 최적화 알고리즘DSCstudyNLP 2020. 2. 5. 03:24
https://www.edwith.org/deeplearningai2/joinLectures/20015
딥러닝 2단계: 심층 신경망 성능 향상시키기 강좌소개 : edwith
- 커넥트재단
www.edwith.org
이 글은 edwith 딥러닝 2단계 강의 목록 중 '최적화 알고리즘'을 수강하고 정리하였습니다. 수식, 그래프 이미지의 출처는 강의 필기 캡처본입니다.
미니 배치 경사하강법
머신러닝을 적용하는 것은 잘 작동되는 모델을 찾기 위해 많은 훈련을 거쳐야 하는 반복정인 과정으로 매우 실험적이다. 따라서 모델을 빠르게 훈련시키는 것이 매우 중요한다. 큰 데이터 세트에서 신경망을 훈련 시킬 수 있을 때 딥러닝이 빅데이터에서 가장 잘 작동된다는 것도 훈련을 어렵게 만든다. 큰 데이터 세트에서 훈련하는 것은 매우 느린 과정이다. 따라서 좋은 최적화 알고리즘을 찾는 것은 효율성을 좋게 만들어준다. 미니배치 경사 하강법에 대해 배워보자.
Batch vs. mini batch gradient descent
Vectorization allows you to efficintly compute on m examles. : 벡터화가 m개의 샘플에 대한 계산을 효율적으로 만들어 준다. 명시적인 반복문 없이도 훈려세트를 진행할 수 있도록 한다. 따라서 훈련샘플을 받아서 큰 행렬에 저장한다.

배치 경사 하강법 - 배치 경사 하강법 : 전체 훈련 샘플에 대해 훈련 후 경사 하강법을 구현 -> 경사 하강법의 작은 한단계를 밟기 전에 모든 훈련세트를 처리해야 함. 또 경사하강법의 다음 단계를 밟기 전에 다시 오백만개의 전체 훈련샘플을 처리해야함.
=> 따라서 오백만 개의 거대한 훈련샘플을 모두 처리하기 전에 경사하강법이 진행되도록 하면 더 빠른 알고리즘을 얻을 수 있다.
- 미니 배치 경사 하강법 : 전체 훈련 샘플을 작은 훈련세트들로 나누고(이를 미니배치라고 함), 미니배치 훈련후 경사하강법을 진행
예를 들어 전체 훈련세트가 5,000,000일 때, 각각의 미니배치가 1,000개의 샘플을 갖는다고(사이즈가 1,000인 미니배치 5,000개) 가정하고 훈련 및 경사 하강법을 진행한다. 미니 배치 경사하강법의 새로운 표현법은 다음과 같다.
- i번째 훈련 세트 : x^(i)
- l번째 신경망의 z값 : z^[l]
- t번째 미니배치 : X^6^{t},Y^{t}

미니 배치 경사 하강법 Mini-batch gradient descent
훈련세트에서 미니배치 경사 하강법을 실행하기 위해 t=1... 5,000 반복문을 돌린다. 반복문 안에서는 한단계의 경사하강법을 구현한다.

미니 배치 경사 하강법의 코드화 1 epoch(에포크) : 훈련세트를 거치는 한 반복을 의미
따라서 배치 경사하강법에서 훈려세트를 거치는 한 반복은 오직 하나의 경사하강 단계만을 할 수 있게 한다. 미니배치 경사하강법의 경우 훈련 세트를 거치는 한 반복은 5,000개의 경사 하강 단계를 거치도록 한다.
미니 배치 경사하강법 이해하기
Training with mini batch gradient descent


배치 경사하강법에서의 비용함수 미니 배치 경사하강법에서의 비용함수 - 배치 경사 하강법 : 모든 반복에서 전체 훈련세트를 진행하고 각 반복마다 비용이 감소해야 한다.
- 미니 배치 경사 하강법 : 모든 반복마다 감소하지 않는다. 전체적으로는 비용함수가 감소하는 경향을 보이지만 노이즈가 많이 발생한다. (+) 노이즈가 발생하는 이유는 X^{1}과 Y^{1}이 상대적으로 쉬운 미니배치라서 비용이 약간 낮은데 우연적으로 X^{2}와 Y^{2}가 더 어려운 미니배치라서 등의 이유로 비용이 약간 더 높아질 수 있다.
Choosing our mini-batch size
우리가 선택해야 하는 매개변수 중 하나는 미니배치의 크기이다.
i) m이 훈련세트 크기일 때, 미니배치 크기가 m과 같은 경우 = 배치 경사 하강법
이 경우에는 하나의 미니배치만을 갖게 되고 이 미니배치의 크기는 전체 훈련 세트와 같다. 따라서 미니배치 크기를 m으로 설정하는 것은 일반적인 경사 하강법과 같다.
ii) 미니배치 크기 = 1 인 경우; 확률적 경사 하강법
각각의 샘플은 하나의 미니배치이다. 첫번째 미니 배치인 X^{1}과 Y^{1}을 살펴보면 미니배치 크기가 1일 때 이는 첫번째 훈련샘플과 같다. 즉, 첫번째 훈련샘플로 경사 하강법을 하는 것이다. 다음에 두번째 미니배치를 살펴보면 이는 두번째 훈련샘플과 같고 이에 대한 경사하강단계를 취하게 된다. ... 이런 식으로 한번에 하나의 훈련샘플만을 살펴보며 계속 진행하는 것이다.
=> i), ii)의 두가지 극단적인 경우가 비용함수를 최적화할 때 무엇을 하는지 살펴보자.
i)은 파란색 화살표의 경로를 따르고 ii)는 보라색 화살표의 경로를 따른다.

비용함수의 등고선 iii) 실제로 우리가 사용하는 미니배치 크기는 1과 m 사이일 것
(1은 상대적으로 작고 m은 상대적으로 큰 값이다)
- 배치 경사 하강법; 미니배치의 크기는 m과 같다. -> 매우 큰 훈련 세트를 모든 반복에서 진행하게 됨 -> 단점) 한 반복에서 너무 오랜 시간이 걸림
- 확률적 경사 하강법; 하나의 샘플만 처리한 뒤에 계속 진행 가능해 매우 간단, 노이즈도 작은 학습률을 사용해 줄일 수 있음 -> 단점) 벡터화에서 얻을 수 있는 속도 향상을 잃게 됨 - 한 번에 하나의 훈련세트를 진행하기 때문에 각 샘플을 진행하는 방식이 매우 비효율적임
따라서 가장 잘 작동하는 값은 1과 m사이의 있는 값이다. 실제로 이는 가장 빠른 학습을 제공한다. 이를 통한 두가지 장점이 있다.
1. 많은 벡터화를 얻음 : 미니배치의 크기가 1000개의 샘플이라면 1000개의 샘플에 벡터화를 하게 된다. 그렇다면 한 번에 샘플을 진행하는 속도가 더 빨라지게 된다.
2. 전체 훈련세트가 진행되기를 기다리지 않고 진행가능 : 각각의 훈련세트의 에포크는 5000번의 경사 하강 단계를 허용한다.
미니배치는 항상 최솟값으로 수렴한다고 보장할 수는 없지만 더 일관되게 전역의 최솟값으로 향하는 경향이 있다. 그리고 매우 작은 영역에서 항상 정확하게 수렴하거나 진동하게 된다. ( iii)는 초록색 화살표를 따른다)

비용함수의 등고선
그렇다면 미니배치 크기가 m이나 1이 아닌 그 사이의 값이어야 한다면 그 값을 어떻게 선택할까?
1. 만약 훈련세트가 작다면(2000개 이하) 모든 훈련세트를 한번에 학습시키는 배치 경사하강을 진행한다.
2. 이와 달리 2000개 이상의 훈련세트가 클 경우 전형적으로 선택하는 미니배치 사이즈는 64, 128, 256, 512와 같은 2의 제곱수이다.
+ 미니배치에서 모든 X^{t}와 Y^{t}가 CPU와 GPU 메모리에 맞는지 확인해라. 이는 여러분의 애플리케이션과 하나의 훈련샘플의 크기에 달려있다. 그렇지 않으면 성능이 갑자기 떨어지고 훨씬 나빠지게 된다.
미니배치 크기는 빠른 탐색을 통해 찾아내야 하는 또 다른 하이퍼파라미터이다. 가장 효율적이면서 비용함수 J를 줄이는 값을 찾아내야 한다.
지수 가중 이동 평균
경사하강법 및 미니배치 경사하강법보다 더 효율적인 알고리즘을 이해하기위해 지수 가중 이동 평균을 먼저 이해해야 한다.
Temperature in London

런던의 날짜별 기온 그래프 이 그래프에서 약간의 노이즈가 있지만 지역 평균이나 이동 평균의 흐름을 계산하고 싶다면 이런 방법이 있다.
v_0를 0으로 초기화한다. 매일 이전의 값에 0.9를 곱하고 여기에 0.1 곱하기 해당 날의 기온을 더해줄 것이다. (θ1 : 첫 번째 날의 기온) .. 이런 식으로 계속 한다. 따라서 일반적인 식은 V_t = 0.9*V_(t-1) + 0.1*θ_t가 되고 그래프는 다음과 같아진다. 일별 기온의 지수가중평균을 얻게 된다.

지역 평균/ 이동 평균의 흐름 계산 과정 Exponentially weighted averages
공식을 다시 살펴보자. (β=0.9) V_t를 계산한 값은 대략적으로 1/(1-β) 곱하기 일별 기온의 평균과 같다.
i) β=0.9와 같은 경우 이는 10일 동안 기온의 평균과 같다. 그것이 그래프의 붉은색 선이다.
ii) β가 1과 매우 가까운 경우(β=0.98); 1/(1-0.98)은 50과 비슷하므로 이 값은 기온의 평균과 거의 같다. 이는 그래프의 초록색 선과 같다.
iii) β=0.5; 공식에 의해서 2일의 기온만 평균하는 것과 같다. 오직 2일만의 기온을 사용했기에 더 노이즈가 많고 이상치에 더 민감하다. 그러나 기온 변화에 더 빠르게 적응한다. 이는 그래프의 노란색 선과 같다.
여기서 β값이 클수록 더 많은 날짜의 기온의 평균을 이용하기 때문에 곡선이 더 부드러워짐을 알 수 있다. 하지만 더 큰 범위에서 기온을 평균하기 때문에 곡선이 올바른 값에서 더 멀어진다. 그래서 기온이 바뀔 경우에 지수가중편균 공식은 더 느리게 적응한다. 따라서 지연되는 시간이 더 크다.


i), ii), iii)과 연관된 그래프 따라서 이 공식은 지수가중평균을 구현하기 위한 공식이다. 통계학에서는 지수가중이동평균이라고 부른다. (줄여서 지수가중평균) 이 매개변수 혹은 학습 알고리즘의 하이퍼파라미터의 값을 바꿈으로써 약간씩 다른 효과를 얻게 되고 이를 통해 가장 잘 작동하는 값(빨간색 곡선이 주는 값)을 찾게 된다. 빨간색 곡선이 초록색이나 노란색 곡선보다는 더 나은 평균을 제공한다.
지수 가중 이동 평균 이해하기
지수가중평균은 신경망 훈련에 사용하는 몇 가지 최적화 알고리즘의 주요 구성요소가 될 것이다. 이 알고리즘이 하는 일에 대해서 깊게 알아보자.
Exponentially weighted averages
아래 공식은 지수가중평균을 구현하는데 주요한 공식이다. 일일 기온의 평균을 계산하는 방법에 대해 수학적으로 더 알아보자.
β=0.9 로 설정하고 앞서 나온 지수가중이동평균 식을 하나의 값으로 표현하게 되면 다음과 같다.

v100=0.1θ100+0.1×0.9θ99+0.1×(0.9)2θ98+⋯ V_100은 다음과 같이 표현될 수 있으며 이것은 가중치의 합(즉, θ_100의 가중치의 평균)이다.
이를 그림으로 표현하면 지수적으로 감소하는 그래프가 된다. 왜냐햐면 v100을 구하는 과정에서 각 요소별 곱셉(0.1 x (0.9)^n)을 해서 더하기 때문이다.

그림으로 표현 위의 식들에서 앞에 곱해지는 계수들을 모두 더하면 1또는 1에 가까운 값이 되는데 이는 편향 보정이라고 불린다. (아래에서 설명) 이들에 의해 지수가중평균이 된다. 그렇다면 얼마의 기간이 이동하면서 평균이 구해지는걸까?
β가 0.9와 같을때, 지난 10일간의 온도에만 초첨을 맞춰 가중평균을 계산한다면 10일 뒤에는 현재 날짜의 가중치의 1/3으로 줄어들게 된다. 반대로 β가 0.98이라면 0.98^50이 대략적으로 1/e와 같다. 처음 50일 동안의 1/e보다 가중치는 더 커질 것으로 보인다. 감소는 가프르게 일어날 것이다. 따라서 직관적으로 50일의 온도의 평균은 더 급격히 빠르다. 왜냐하면 ε은 0.02이기 때문이다. 따라서 1/ε 은 50과 같다. 이는 1/(1-β)와도 대략적으로 같다. 평균적인 온도가 몇 일 정도가 될지에 관한 상수를 알려준다. 이는 관습적으로 쓰이는 것이지 수학공식은 아님에 유의하자.
- β=(1−ε) 라고 정의 하면
- (1−ε)^n = 1/e 를 만족하는 n 이 그 기간이 되는데, 보통 1/ε 으로 구할 수 있다.
Implementing exponentially weighter averages
이제 실제로 어떻게 구현할지 알아보자.

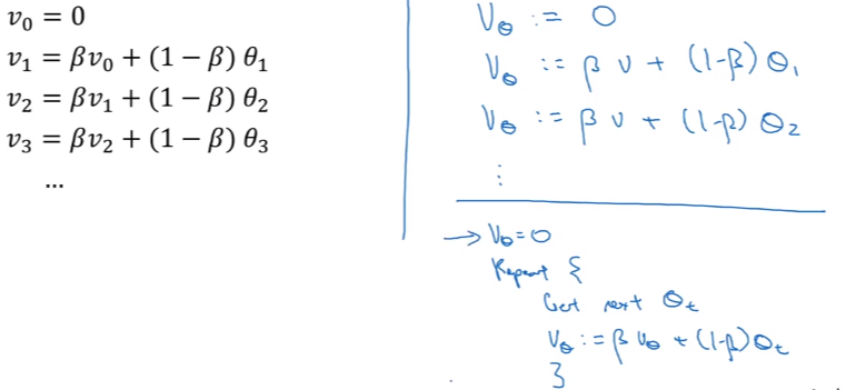
지수가중평균 실제로 구현할 때는 v를 0으로 초기화한다. 가끔 v에 아래 첨자 θ를 한 표기법을 사용하기도 한다. v가 θ를 매개변수로 하는 지수가중평균을 계산하는 것을 나타내기 위해서이다. 이를 반복문으로 나타내면 v_θ를 0으로 설정하고 각각의 날짜마다 다음 θ_t를 얻고 그리고 v_θ := β*v_θ+(1-β)θ_t로 업데이트 된다.
이렇게 지수평균을 얻는 식의 장점은 아주 적은메모리를 사용한다는 것이다. v_θ 실수 하나만을 컴퓨터 메모리에 저장하고 가장 최근에 얻은 값을 식에 기초에 덮어쓰기만 하면 되기 때문이다. 한줄의 코드만 작성하면 되서 효율적이고 지수가중평균을 계산하기 위해 하나의 실수를 저장하는 메모리만 필요하다.
평균을 계산하는 가장 정확하고 최선의 방법은 아니다. 명시적으로 10일 또는 50일 간의 온도를 더하고 10이나 50으로 나누는 것이 더 나은 추정치를 제공한다. 그러나 이는 더 많은 메모리를 필요로 하고 더 복잡한 규현이라 컴퓨터적으로 많은 비용이 필요하다.
지수 가중 이동 평균의 편향보정
편향보정은 평균을 더 정확하게 계산할 수 있게 한다.
Bias correction


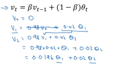
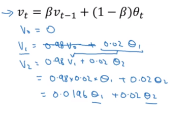
β=0.98 일때 그래프 작성된대로 공식을 구현하다면 β=0.98일때 초록색 곡선을 얻지 못한다. 오른쪽 그래프의 보라색 곡선을 얻게 된다. 보라색 곡선이 매우 낮은 곳에서 시작함을 알 수 있다. 이를 고쳐보자.
이동평균을 구할 때 v_0 = 0으로 초기화하고 v_1 = 0.98*v_0 + 0.02*θ_1이다. 그러나 v_0가 0이기 때문에 오른쪽 식의 첫 항은 사라지게 된다. 따라서 첫째날의 온도가 화씨 40도면 v_1의 값은 0.02*40인 8이 될 것이다. 값이 훨씬 낮아져서 첫번째 날의 온도를 잘 추정할 수 없다. v_2 = 0.98*v_1 + 0.02*θ_2가 될 것이다. v_1값을 대입하면 v_2 = 0.98*0.02*θ_1 + 0.02*θ_2가 된다. 이는 0.0196*θ_1 + 0.02*θ_2 이다. θ_1과 θ_2가 양수라고 가정한다면 v_2를 계산한 값은 θ_1이나 θ_2보다 훨씬 더 작아질 것이다. 한 해의 첫 두 날짜를 추정한 값이 좋지 않은 추정이 된다.

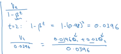
따라서 이 추정값이 더 나은 값이 될 수 있도록 수정하는 방법이 있다. 특히 추정의 초기단계에서 더 정확하게 보정이 가능하다. v_t를 취하는 대신에 v_t/(1-β^t)를 취한다. (t : 현재의 온도) 예를 들어 t=2인 경우는 1-β^t = 1-(0.98)^2 = 0.0396이다. 따라서 둘째날의 온도를 추정한 값은 v_2를 0.0396으로 나눈 값과 같다. v2/0.0396 = (0.0196*θ_1 + 0.02*θ_2) / 0.0396 이다. 따라서 이는 θ_1과 θ_2의 가중평균에 편향을 없앤 값이 된다. t가 커질수록 β^t는 0에 가까워진다. 그러므로 t가 충분히 커지면 편향보정은 그 효과가 거의 없어진다. t가 커질때 보라색 곡선과 초록색 곡선이 겹치는 이유이다.
-> 이게 무슨 말일까....?
그러나 초기 단계의 학습에서 편향보정은 더 나은 온도의 추정값을 얻을 수 있도록 도와준다. 보라색 선에서 초록색 선으로 갈 수 있게 한다.
머신러닝에서 지수가중 평균을 구현하는 대부분의 경우 사람들은 편향보정을 거의 구현하지 않는다. 초기 단계를 그냥 기다리고 편향된 추정이 지나간 후부터 시작하기 때문이다. 그러나 초기 단계의 편향이 신경쓰인다면 편향보정은 초기에 더 나은 추정값을 얻는데 도움이 될 것이다.
Momentum 최적화 알고리즘
모멘텀 알고리즘 혹은 모멘텀이 있는 경사하강법은 일반적인 경사 하강법보다 거의 항상 빠르게 작동한다. 기본적인 아이디어는 경사에 대한 지수가중평균을 계산하는 것이다. 그 값으로 가중치를 업데이트한다. 어떻게 구현할 수 있을지 알아보자.
Gradient descent example
대부분의 예제에서 비용함수를 최적화한다고 가정하자. 등고선은 다음과 같고 빨간점은 최소값의 위치를 나타낸다. 경사하강법을 시작해서 경사하강법 or 미니배치 경사 하강법의 한 반복을 취하면 그림과 같이 향한다. 타원의 반대쪽에서 경사하강법의 한 단계를 취하면 그림과 같이 오게 된다. 이런 식으로 계속 한단계씩 나아갈 때마다 그림과 같이 나아가게 된다. 많은 단계를 취하면 최소값으로 나아가면서 천천히 진동한다.

비용함수 최적화 과정 위아래로 일어나는 진동은 경사하강법의 속도를 느리게 하고 더 큰 학습률을 사용하는 것을 막는다. 왜냐하면 오버슈팅하게 되어 발산할 수도 있기 때문이다. 따라서 학습률이 너무 크지 않아야 진동이 커지는 것을 막을 수 있다.
또 다른 관점에서 살펴보면 수직축에서는 진동을 막기위해 학습이 더 느리게 일어나길 바라지만 수평축에서는 더 빠른 학습을 원한다. 최소값을 향해 왼쪽에서 오른쪽으로 이동하는 것을 처리하고 싶기 때문이다.

비용함수 최적화 과정 따라서 모멘텀을 이용한 경사하강법에서는 구현할 때에는 다음과 같이 한다. 각 반복 t에서 현재의 미니배치에 대한 보편적인 도함수인 dw와 db를 계산하게 될 것이다. (배치 경사하강법을 사용하는 경우 현재의 미니배치는 전체 배치와 같다.) V_dw = βV_dw + (1-β)dw 를 계산한다. (이동평균을 w에 대한 도함수로 계산) V_db = βV_db + (1-β)db 를 계산한다. 그리고 나서 w를 사용해 가중치를 업데이트한다. w := w-aV_dw, b := b-aV_db가 된다.

Momentum 알고리즘 
Momentum 알고리즘 Momentum의 장점은 경사하강법의 단계를 부드럽게 만들어준다. 경사하강법은 결국에 수직방향에서는 훨씬 더 작은 진동이 있고 수평방향에서는 더 빠르게 움직인다는 것을 찾을 수 있다. 따라서 이 알고리즘은 더 직선의 길을 가거나 진동을 줄일 수 있게 한다.
이 모멘텀에서 얻을 수 있는 직관은 밥그릇 모양의 함수를 최소화하려고 하면 도함수의 항들(dw, db)은 아래로 내려갈 때 가속을 제공한다고 볼 수 있다. 그리고 모멘텀 항들(V_dw, V_db)은 속도를 나타낸다고 볼 수 있다. 따라서 작은 공이 밥그릇의 경사를 내려갈때 도함수는 여기에 가속을 부여하고 더 빠르게 내려가게 만든다. 그리고 β는 1보다 조금 작기 때문에 마찰을 제공해서 공이 제한없이 빨라지는 것을 막는다. 따라서 경사하강법이 모든 이전 단계를 독립적으로 취하는 대신에 그릇을 내려가는 공에 가속을 주고 모멘텀을 제공할 수 있다.
Implementation details
이제 어떻게 구현할지에 대한 세부사항을 살펴보자. 여기 학습률 a와 지수가증평균을 제어하는 β라는 두가지 하이퍼파라미터가 있다. β의 가장 일반적인 값은 0.9이다. 지난 10일간의 온도를 평균하는 것이다. 0.9인경우 실제로 매우 잘 작동한다. 다양한 값을 시도하면서 하이퍼파라미터를 탐색해라.

편향 보정은 어떨까? V_dw/(1-β^t)이다. 많이 사용하지 않는다.
왜냐하면 10단계의 반복이 넘어가면 이동평균이 충분히 진행되어 편향 추정이 더이상 일어나지 않기 때문이다. 따라서 경사하강법이나 모멘텀을 구현할 때 편향보정을 하는 사람들은 거의 없다.
모멘텀이 있는 경사하강법은 모멘텀이 없는 경사하강법보다 거의 항상 더 잘 작동한다. 그러나 학습 알고리즘을 빠르게 하기 위한 또 다른 방법이 있다. 아래에서 살펴보자.
RMSProp 최적화 알고리즘
root mean square prop, 이 알고리즘 역시 경사하강법을 빠르게 하는데 작동방식을 살펴보자.
RMSProp
위에서 했던 예제를 살펴보면 경사하강법에서 수평방향으로 진행을 시도해도 수직방향으로 큰 진동이 있다는 것을 알 수 있다. 직관을 위해 수직축은 매개변수 b, 수평축은 매개변수 w라고 하자. b방향 또는 수직방향의 학습 속도를 낮추기 위한 것이고 그리고 수평방향의 속도를 빠르게 하기 위한 것이다.

RMSProp 알고리즘이 하는 일은 다음과 같다. 반복 t에서 현재의 미니배치에 대한 보통의 도함수 dw와 db를 계산할 것이다. 지수가중평균을 유지하기 위해서 새로운 표기법인 s_dw를 사용하자. 이 값은 β*s_dw + (1-β)*dw^2 이다. 제곱 표시는 요소별 제곱을 나타낸다. 이는 도함수의 제곱을 지수가중평균하는 것이다. 그리고 s_db 역시 β*s_db + (1-β)*db^2와 같다. 다음으로 매개변수를 다음과 같이 업데이트 한다. w는 w에서 학습률 a*dw를 s_dw의 제곱근으로 나눠준 값을 뺀 것이다. b는 b-a*db만을 하는 대신에 s_db의 제곱근으로 나눠준 값을 뺀다.

RAMSProp 알고리즘 
RMSProp 알고리즘
이것이 어떻게 작동하는걸까?
수평 방향(w방향)에서는 학습률이 꽤 빠르게 가길 원하는 반면에 수직 방향(b방향)에서는 느리게 혹은 수직방향의 진동을 줄이길 원한다. 따라서 s_dw와 s_db에서 우리가 원하는 것은 s_dw가 상대적으로 작고 s_db가 상대적으로 큰 것이다. (s_dw로 상대적으로 작게 나누고 s_db로 상대적으로 크게 나눈다는 의미) 수직방향에서의 업데이트를 줄이기 위함이다. 실제로 수직방향에서의 도함수가 수평방향의 것보다 훨씬 크다. b방향에서의 경사가 매우 크다. 도함수 db는 매우 크고 dw는 상대적으로 작다. (수직방향 b에서 기울기가 더 가파르기 때문) 수평방향 w에서의 기울기보다 가파르다. 따라서 db^2은 상대적으로 크고 dw가 작기 때문에 dw^2은 상대적으로 더 작다. 다음에 오는 효과는 더 큰 숫자로 나눠서 수직방향에서 업데이트하기 때문에 진동을 줄이는데 도움을 준다. 반면 수평방향에서는 작은 숫자로 나눠서 업데이트하기 때문에 RMSProp을 사용한 업데이트는 다음과 같다. - 수직방향에서의 업데이트는 감소하지만 수평방향은 계속 나아가게 한다. 이 효과는 큰 학습률을 사용해 빠르게 학습하고 수직방향으로 발산하지 않는다.
명확히는 수직과 수평방향을 b와 w로 나타냈는데 실제로는 매우 매개변수의 고차원 공간에 있기 때문에 진동을 줄이려는 수직차원은 w1, w2, ... w17의 매개변수 집합이고 수평방향의 차원은 w3, w4.. 처럼 나타날 것이다. 따라서 w와 b의 분리는 표현을 위한 것이고 실제로 dw와 db는 매우 고차원의 매개변후 벡터이다.


RMSProp RMSProp 알고리즘은 학습 알고리즘의 속도를 올리는 방법이다. RMSProp와 모멘텀을 함께 사용하면 더나은 최적화 알고리즘을 얻을 수 있다.
Adam 최적화 알고리즘
Adam 최적화 알고리즘은 RMSprop과 모멘텀을 합친 알고리즘이다. 어떻게 동작하는지 살펴보자.
Adam optimization algorithm


adam 최적화 알고리즘 전형적인 Adam 구현에서는 편향보정을 한다. V_dw^correctedf는 편향보정을 의미한다. 그리고 최종적으로 업데이트를 실행한다. 위 알고리즘은 모멘텀이 있는 경사하강법의 효과와 RMSprop이 있는 경사하강법의 효과를 합친 결과가 나온다. 이는 매우 넓은 범위의 아키텍처를 가진 서로 다른 신경망에서 잘 작동한다는 것이 증명된 일반적으로 많이 쓰이는 학습알고리즘이다.
따라서 이 알고리즘은 많은 하이퍼파라미터가 있다.
- 학습률 하이퍼파라미터 a : 매우 중요하고 보정될 필요가 있으므로 다양한 값을 시도해서 잘 맞는 것을 찾아야 한다.
- β_1 : 기본적인 값으로 0.9를 보통 선택한다. (dw의 이동평균, 가중평균/ 모멘텀에 관한 항)
- β_2 : Adam논문에서 저자가 추천하는 값이 0.999이다. (dw^2와 db^2의 이동가중평균을 계산한 것)
- ε : 10^(-8)의 값을 추천 (이 값을 설정하지 않더라도 전체 성능에 영향은 없음)
Adam이라는 용어는 어디서 온 것일까?
Adaptive moment estimation에서 온 용어이다. β_1이 도함수의 평균을 계산하므로 이것이 첫번째 모멘트이고 β_2가 지수가중평균의 제곱을 계산하므로 두번째 모먼트이다. 모두 그냥 Adam 최적화 알고리즘이라고 부른다.
Adam 최적화 알고리즘을 이용하면 신경망을 더 빠르게 훈련시킬 수 있을 것이다. 하이퍼파라미터 보정과 최적화 문제에 대한 직관을 더 다루어보자.
학습률 감쇠
학습 알고리즘의 속도를 높이는 한가지 방법은 시간에 따라 학습률을 천천히 줄이는 것이다. 이를 학흡률 감쇠라고 부르는데 어떻게 구현할 수 있을지 살펴보자.
Learning rate decay
왜 학습률 감쇠가 필요한지 예시를 하나 보자. 상당히 작은 미니배치(64, 128)에 대해 미니배치 경사 하강법을 구현한다고 가정하자. 이 경우, 단계를 거치면서 약간의 노이즈가 있지만 최소값으로 향하는 경향을 보일 것이다. 그러나 정확하게는 수렴하지 않고 주변을 돌아다니게 된다. 왜냐하면 어떤 고정된 값인 a를 사용했고 서로 다른 미니배치에 노이즈가 있기 때문이다.

상당히 작은 미니배치에서의 경사하강법 구현 그러나 천천히 학습률 a를 줄이면 a가 여전히 큰 초기 단계에서는 상대적으로 빠른 학습이 가능하다. a가 작아지면 단계마다 진행정도가 작아지고 최소값의 밀집된 영역에서 진동하게 될 것이다. 훈련이 계속되더라도 최소값 주변에 배회하는 대신에 말이다. 따라서 a를 천천히 줄이는 것의 의미는 학습 초기 단계에서는 훨씬 큰 스텝으로 진행하고 학습을 수행할 수록 학습률이 느려저 작은 스텝으로 진행하는 것이다.

학습률 a를 줄였을 때 (초록색 경로) 따라서 여기 학습률 감쇠를 구현하는 방법이다.

학습률 감쇠를 구현하는 방법 하나의 에포크는 데이터를 지나는 하나의 패스다. 훈련세트를 서로 다른 미니배치로 나눠서 훈련세트를 지나는 첫번째 패스를 첫번째 에포크라고 부른다. 두번째 지나는 것을 두번째 에포크라고 부른다. 에포크수에 대한 함수에서 학습률은 점차적으로 감소한다. 학습률 감쇠를 사용하고 싶다면 하이퍼파라미터 a_0와 감쇠율에 대해서 다양한 값을 시도하고 잘 작동하는 값을 찾으면 된다.
Epoch a 1 0.1 2 0.672 3 0.5 4 0.4 Other learning rate decay methods
학습률 감쇠에 대한 이 식 말고 사람들이 사용하는 또 다른 방법들이 있다. 예를 들면 지수적 감쇠라고 불리는 것은 a가 1보다 작은 값을 갖는다.
a = 0.95^epoch_num*a_0 -> 이것은 기하급수적으로 빠르게 학습률을 감소시킨다.
a = k(상수)/epoch_num의 제곱근*a_0 또는 k(상수)/미니배치의 개수 t의 제곱근*a_0
또 어떤 사람들은 이산적 단계로 감소하는 학습률을 사용하기도 한다. 어떤 단계에서는 어떤 학습률 값을 가지고 그 뒤에는 학습률이 반으로 줄어들고 일정 시간이 지날 떄마다 계속 반씩 줄어드는 모습니다.

다양한 학습률 감쇠 방법들 지금까지 시간에 따라 학습률이 어떻게 바뀌는지를 통제하는 여러가지 식들을 살펴봤다. 사람들이 사용하는 또다른 방법은 직접 조작하는 감쇠이다. 한 번에 하나의 모델을 훈련하는데 몇시간 혹은 며칠이 걸린다면 어떤 사람들은 훈련을 거치면서 모델을 정리해 나갈 것이다. 학습률이 느려지고 있는 것처럼 느껴서 데이터의 크기를 줄이는 것이다. 이런 식으로 a의 값을 시간이나 날마다 직접 보정하는 것은 훈련이 작은 수의 모델로만 이루어진 경우에 가능하다.
이제 학습률 a를 조작하는 몇 가지 선택이 있다. 만약 하이퍼파라미터의 개수가 너무 많아서 어떤 선택을 해야할지 잘 모르겠다면 다음 포스트에서 다룰 시스템적으로 하이퍼파라미터를 선택하는 방법에서 알 수 있다. a의 값만을 바꿔서 큰 영향을 얻을 수 있다는 점에서 학습률 감쇠는 도움이 되고 훈련속도를 빠르게 해줄 수 있다.
https://sy-programmingstudy.tistory.com/4
[2주차] 딥러닝 Sung Kim ML Lec 정리본
https://www.youtube.com/watch?v=PIjno6paszY&list=PLlMkM4tgfjnLSOjrEJN31gZATbcj_MpUm&index=11 다음 유튜브 강의(5-1, 5-2, 8-1 ~ 10-4)를 듣고 정리한 것입니다.
sy-programmingstudy.tistory.com
4주차 숙제 중 sumg kim강의 듣고 블로그 정리하는 것은 2주차에서 미리 포스팅하였습니다!
'DSCstudyNLP' 카테고리의 다른 글
[5주차] 딥러닝 2단계 : Batch Normalization (0) 2020.02.10 [5주차] 딥러닝 2단계 : 하이퍼파라미터 튜닝 (0) 2020.02.08 [4주차] 딥러닝 2단계 : 최적화 문제 설정 (0) 2020.02.04 [3주차] 딥러닝 2단계 : 심층 신경망 성능 향상시키기 정리본 (0) 2020.01.29 [2주차] 딥러닝 Sung Kim ML Lec 정리본 (0) 2020.01.21